媒體新聞
空氣污染對人體健康的威脅指數,正隨著科學研究被逐步揭示污染來源。中央大學太空及遙測研究中心林唐煌教授,攜手臺灣大學公共衛生學院吳章甫教授,以及多所大學與研究機構,在國科會與教育部高教深耕計畫支持下,運用人工智能與統計方法,成功建立臺灣本島PM2.5元素成分的時空分布模型。這項成果突破以往僅能依靠濃度監測的限制,不僅能更準確掌握污染來源,亦為環境醫學與公共健康提供新契機,並已發表於國際期刊《Atmospheric Pollution Research》。
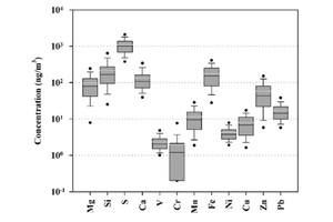
![]() |
| 圖一為2021年6月至2022年5月期間PM2.5中12個元素成分的濃度分布(Huang et al., 2025)。圖二為台灣地區PM2.5中K+成分的濃度分布,2022年3月(Huang et al., 2025)。 |
由於PM2.5細懸浮微粒能深入人體的呼吸道並進入血液循環,對心肺及全身健康造成長期的影響,而其毒性與健康風險不僅取決於濃度,更與內含的化學元素息息相關。研究團隊自2021年6月至2022年5月,於全臺28個空氣品質監測站蒐集四季樣本,分析其中12種元素(如鉛、鎳、鐵、硫等)的濃度變化,並嘗試解開污染成分背後的時空分布奧秘。
為突破傳統方法的侷限,團隊結合典型統計的「廣義相加模型(GAM)」與人工智能的「極限梯度提升法(XGBoost)」。前者先行消除氣象因子造成的時間變異,後者則針對土地利用型態、道路長度、地形與排放源等空間變數進行深度學習。透過這種「集成式模型」,科學家得以建立高解析度的PM2.5成分時空地圖,進一步探索污染來源與分布規律。
研究發現,不同污染源對元素濃度的影響呈現清晰差異。例如鉛的濃度與工業用地與道路分布關聯顯著,而硫、鈣、鎳與鉛等元素的高濃度則集中於中南部地區,凸顯當地工業及交通活動對空污的深遠影響。這些成果提供了針對性治理與區域管制的重要依據。
林唐煌教授強調,這項結合傳統統計與AI的研究展現出巨大潛力,不僅能協助政府在制定區域性空污治理政策與熱點監控策略時提供科學依據,也為精準環境醫學與公共衛生風險評估開啟新篇章。未來,團隊將持續結合流行病學與健康數據,進一步探討空污成分對疾病的影響,深化科技在醫學與公共衛生領域的應用價值。
